5  Logistic Regression

Stub for logistic regression content

library("tidyverse"); theme_set(theme_bw())
Warning: package 'purrr' was built under R version 4.4.1
── Attaching core tidyverse packages ──────────────────────── tidyverse 2.0.0 ──
✔ dplyr     1.1.4.9000     ✔ readr     2.1.5     
✔ forcats   1.0.0          ✔ stringr   1.5.1     
✔ ggplot2   3.5.1          ✔ tibble    3.2.1     
✔ lubridate 1.9.3          ✔ tidyr     1.3.1     
✔ purrr     1.0.4          
── Conflicts ────────────────────────────────────────── tidyverse_conflicts() ──
✖ dplyr::filter() masks stats::filter()
✖ dplyr::lag()    masks stats::lag()
ℹ Use the conflicted package (<http://conflicted.r-lib.org/>) to force all conflicts to become errors
library("ggResidpanel")
set.seed(20250212) # Reproducible simulations

5.1 Model

Let \(Y_i\) be the count out of \(n_i\) attempts where each attempt is independent and there is a common probability of success \(\pi_i\). We assume \[Y_i \stackrel{ind}{\sim} Bin(n_i, \pi_i).\] A special case is when \(n_i = 1\) and \(Y_i\) is a binary (Bernoulli) variable.

If, for each \(i\) we have a collection of explanatory variables \(X_{i,1}, \ldots X_{i,p}\), then a logistic regression model assumes \[ \mbox{logit}(\pi_i)=\mbox{log}\left( \frac{\pi_i}{1-\pi_i} \right) = \eta_i = \beta_0 + \beta_1 X_{i,1} + \beta_2 X_{i,2} + \cdots +\beta_p X_{i,p} \]

where the logistic function of \(\eta_i\) is \[ \pi_i = f(\eta_i) = \frac{e^{\eta_i}}{1+e^{\eta_i}} = \frac{1}{1+e^{-\eta_i}}. \]

Some like to call this the expit() function (since it is the opposit of the logit() function above), so we will use this convention in the code

expit <- function(eta) {
  1 / (1 + exp(-eta))
}

5.1.1 Interpretation

When \(X_{i,j} = 0\) for all \(j\), then \[ E[Y_i|X_{i,1} = 0, \ldots,X_{i,p} = 0] = \pi_i = \frac{1}{1+e^{-\beta_0}} \]

thus \(\beta_0\) determines the probability of success when the explanatory variables are all zero.

The odds of success when \(X_{i,j} = x_j\) is \[ \frac{\pi_1}{1-\pi_1} = e^{\beta_0+\beta_1x_1 + \cdots \beta_p x_p}. \]

The probability of success when \(X_1 =x_1 + 1\) and the remainder are left at \(X_{i,j} =x_j\) is \[ \frac{\pi_2}{1-\pi_2} = e^{\beta_0+\beta_1(x_1+1) + \cdots \beta_p x_p} = e^{\beta_0+\beta_1x_1 + \cdots \beta_p x_p}e^{\beta_1} = \frac{\pi_1}{1-\pi_1} e^{\beta_1}. \]

Thus, the multiplicative change in the odds for a 1 unit increase in \(X_1\) is \[ \frac{\frac{\pi_2}{1-\pi_2}}{\frac{\pi_1}{1-\pi_1}} = e^{\beta_1} \]

This is also referred to as an odds ratio.

5.2 WNBA Shooting

This kaggle competition provides data on plays in the WNBA during the 2021-2022 season. We’ll take a look at the field goal makes as our successes.

wnba_shots <- read_csv("data/wnba-shots-2021.csv") |>
  filter( !(grepl("Free Throw", shot_type)) ) |>
  mutate(
    # Calculate distance to the hoop which is apparently at (25, 0)
    # https://www.kaggle.com/datasets/mexwell/women-national-basketball-association-shots
    distance = sqrt((coordinate_x - 25)^2 + (coordinate_y - 0)^2)
  ) |>
  filter( !is.na(distance), !is.na(made_shot))
Rows: 41497 Columns: 16
── Column specification ────────────────────────────────────────────────────────
Delimiter: ","
chr  (5): desc, shot_type, shooting_team, home_team_name, away_team_name
dbl (10): game_id, game_play_number, shot_value, coordinate_x, coordinate_y,...
lgl  (1): made_shot

ℹ Use `spec()` to retrieve the full column specification for this data.
ℹ Specify the column types or set `show_col_types = FALSE` to quiet this message.

Due to the quote in Love Triangle about having shots incorrectly coded as 2-pointers or 3-pointers, we’ll take a look at points that may be incorrectly coded in these data.

# Check for incorrectly coded data
wnba_shots |> filter(shot_value == 2 & distance > 22 + 1.75 / 12) |> select(shot_value, distance, coordinate_x, coordinate_y) |> arrange(distance)
# A tibble: 17 × 4
   shot_value distance coordinate_x coordinate_y
        <dbl>    <dbl>        <dbl>        <dbl>
 1          2     22.2           28           22
 2          2     22.2           22           22
 3          2     22.2           38           18
 4          2     22.2           22           22
 5          2     22.2           38           18
 6          2     22.2           22           22
 7          2     22.4           15           20
 8          2     22.4           35           20
 9          2     22.4           15           20
10          2     22.5           13           19
11          2     22.5           37           19
12          2     22.5           17           21
13          2     22.5           37           19
14          2     22.8           31           22
15          2     22.8           16           21
16          2     23             25           23
17          2     23.0           12           19
wnba_shots |> filter(shot_value == 3 & distance < 22 + 1.75 / 12) |> select(shot_value, distance, coordinate_x, coordinate_y) |> arrange(distance)
# A tibble: 86 × 4
   shot_value distance coordinate_x coordinate_y
        <dbl>    <dbl>        <dbl>        <dbl>
 1          3     21.6            4            5
 2          3     21.8            4            6
 3          3     21.8           46            6
 4          3     22              3            0
 5          3     22             47            0
 6          3     22              3            0
 7          3     22              3            0
 8          3     22              3            0
 9          3     22              3            0
10          3     22              3            0
# ℹ 76 more rows

We probably need to look into this more thoroughly before we conclude these data are incorrectly coded.

5.2.1 Sylvia Fowles probability vs distance

# Extract Sylvia Fowles shots
fowles_shots <- wnba_shots |>
  # Description (typically) starts with who is shooting
  filter(str_starts(desc, "Sylvia Fowles"))

table(fowles_shots$made_shot) # response

FALSE  TRUE 
  122   187 
# For visualization purposes, aggregate shots by rounding to the nearest foot
aggregate_fowles_shots <- fowles_shots |>
  mutate(
    distanceR = round(distance)
  ) |>
  group_by(distanceR) |>
  summarize(
    n = n(),
    y = sum(made_shot), # TRUE gets converted to 1 and FALSE to 0
    p = y / n
  )

g <- ggplot(aggregate_fowles_shots,
       aes(x = distanceR, y = p, size = n)) +
  geom_point()

g

m <- glm(made_shot ~ distance, # made_shot 
         data = fowles_shots,
         family = "binomial")  
resid_panel(m)

summary(m)

Call:
glm(formula = made_shot ~ distance, family = "binomial", data = fowles_shots)

Coefficients:
            Estimate Std. Error z value Pr(>|z|)    
(Intercept)  0.92302    0.17341   5.323 1.02e-07 ***
distance    -0.11297    0.02924  -3.863 0.000112 ***
---
Signif. codes:  0 '***' 0.001 '**' 0.01 '*' 0.05 '.' 0.1 ' ' 1

(Dispersion parameter for binomial family taken to be 1)

    Null deviance: 414.59  on 308  degrees of freedom
Residual deviance: 397.80  on 307  degrees of freedom
AIC: 401.8

Number of Fisher Scoring iterations: 4
c(coef(m)[1], confint(m)[1,]) |> expit()
Waiting for profiling to be done...
(Intercept)       2.5 %      97.5 % 
  0.7156569   0.6430326   0.7806552 
c(coef(m)[2], confint(m)[2,]) |> exp()
Waiting for profiling to be done...
 distance     2.5 %    97.5 % 
0.8931809 0.8410906 0.9439774 
Interpretation

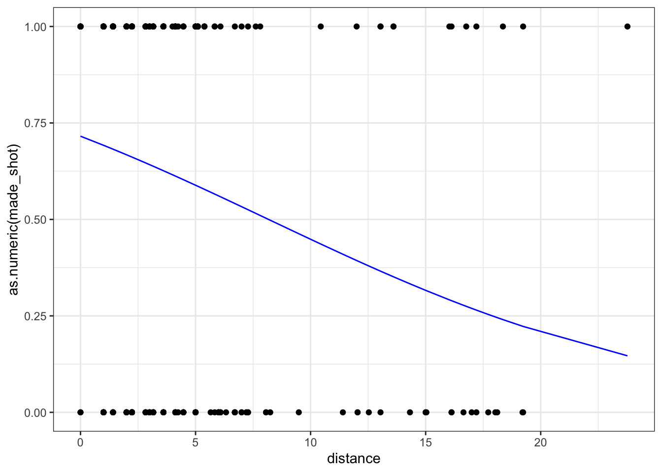
We ran a logistic regression using made shot as a success and distance from the hoop as the explanatory variable. According to the model, the probability of making a shot at a distance of 0 is
0.72 with a 95% confidence interval of (0.64, 0.78). For each additional foot away from the hoop the odds of making the shot is multiplied by 0.89 with a 95% confidence interval of (0.84, 0.94).

# Create data frame with fitted values
fowles_fitted <- fowles_shots |>
  mutate(p = predict(m, type = "response"))

ggplot(fowles_fitted,
       aes(x = distance)) +
  geom_point(aes(y = as.numeric(made_shot))) +
  geom_line(aes(y = p), col = 'blue') +
  ylim(0, 1)

5.2.2 Sylvia Fowles vs Sue Bird

two_player_shots <- wnba_shots |>
  filter(str_starts(desc, "Sylvia Fowles") | 
           str_starts(desc, "Sue Bird") ) |>
  mutate(player = ifelse(str_starts(desc, "Sylvia Fowles"), 
                         "Sylvia Fowles", 
                         "Sue Bird"))

two_player_summary <- two_player_shots |>
  group_by(player) |>
  summarize(
    n = n(),
    y = sum(made_shot),
    p = y / n
  )

two_player_summary
# A tibble: 2 × 4
  player            n     y     p
  <chr>         <int> <int> <dbl>
1 Sue Bird        267   107 0.401
2 Sylvia Fowles   309   187 0.605

Here we see that Sylvia Fowles is the better field goal shooter by field goal percent. This is consistent (although the numbers are somewhat different) with the WNBA 2021 Shooting Statistics.

We could fit a comparison of two binomial proportions.

pt <- prop.test(two_player_summary$y, two_player_summary$n)
pt

    2-sample test for equality of proportions with continuity correction

data:  two_player_summary$y out of two_player_summary$n
X-squared = 23.143, df = 1, p-value = 1.504e-06
alternative hypothesis: two.sided
95 percent confidence interval:
 -0.2880795 -0.1207783
sample estimates:
   prop 1    prop 2 
0.4007491 0.6051780 

An appealing aspect of this approach is that it directly provides an estimate with uncertainty about the difference between the two probabilities.

diff(pt$estimate)
   prop 2 
0.2044289 
pt$conf.int
[1] -0.2880795 -0.1207783
attr(,"conf.level")
[1] 0.95

Alternatively we can fit a logistic regression model.

mP <- glm(made_shot ~ player,
         data = two_player_shots,
         family = "binomial")

summary(mP)

Call:
glm(formula = made_shot ~ player, family = "binomial", data = two_player_shots)

Coefficients:
                    Estimate Std. Error z value Pr(>|z|)    
(Intercept)          -0.4023     0.1249  -3.222  0.00127 ** 
playerSylvia Fowles   0.8294     0.1707   4.859 1.18e-06 ***
---
Signif. codes:  0 '***' 0.001 '**' 0.01 '*' 0.05 '.' 0.1 ' ' 1

(Dispersion parameter for binomial family taken to be 1)

    Null deviance: 798.26  on 575  degrees of freedom
Residual deviance: 774.14  on 574  degrees of freedom
AIC: 778.14

Number of Fisher Scoring iterations: 4

We have do perform some transformations to get interpretable parameters.

c(coef(mP)[1], confint(mP)[1,]) |> expit() # Probability for reference level
Waiting for profiling to be done...
(Intercept)       2.5 %      97.5 % 
  0.4007491   0.3431224   0.4602700 
c(coef(mP)[2], confint(mP)[2,]) |> exp()   # Multiplicative effect on odds
Waiting for profiling to be done...
playerSylvia Fowles               2.5 %              97.5 % 
           2.292018            1.643074            3.209523 
Interpretation

We ran a logistic regression using the number of made shots out of the total and used player (Sylvia Fowles vs Sue Bird) as the explanatory variable. According to the model, the probability of making a shot for Sue Bird is 0.4 with a 95% confidence interval of (0.34, 0.46) and the multiplicative effect on log odds for Sylvia Fowles compared to Sue Bird is 2.29 with a 95% confidence interval of (1.64, 3.21).

We likely expect that distance will affect the probability of making a shot as we saw previously. So let’s include distance in our model.

mPD <- glm(made_shot ~ player + distance,
         data = two_player_shots,
         family = "binomial")

summary(mPD)

Call:
glm(formula = made_shot ~ player + distance, family = "binomial", 
    data = two_player_shots)

Coefficients:
                    Estimate Std. Error z value Pr(>|z|)   
(Intercept)          0.51006    0.31922   1.598   0.1101   
playerSylvia Fowles  0.11039    0.28761   0.384   0.7011   
distance            -0.04398    0.01416  -3.105   0.0019 **
---
Signif. codes:  0 '***' 0.001 '**' 0.01 '*' 0.05 '.' 0.1 ' ' 1

(Dispersion parameter for binomial family taken to be 1)

    Null deviance: 798.26  on 575  degrees of freedom
Residual deviance: 764.33  on 573  degrees of freedom
AIC: 770.33

Number of Fisher Scoring iterations: 4

When we do not include distance in the model, it appears that Sylvia Fowles is the better shooter. When distance is included in the model, it appears that there is no evidence of a difference in field goal percentage between Sylvia Fowles and Sue Bird (p = 0.7). This is an example of Simpson’s Paradox, i.e. our understanding of a relationship changes as we adjust for other explanatory variables.

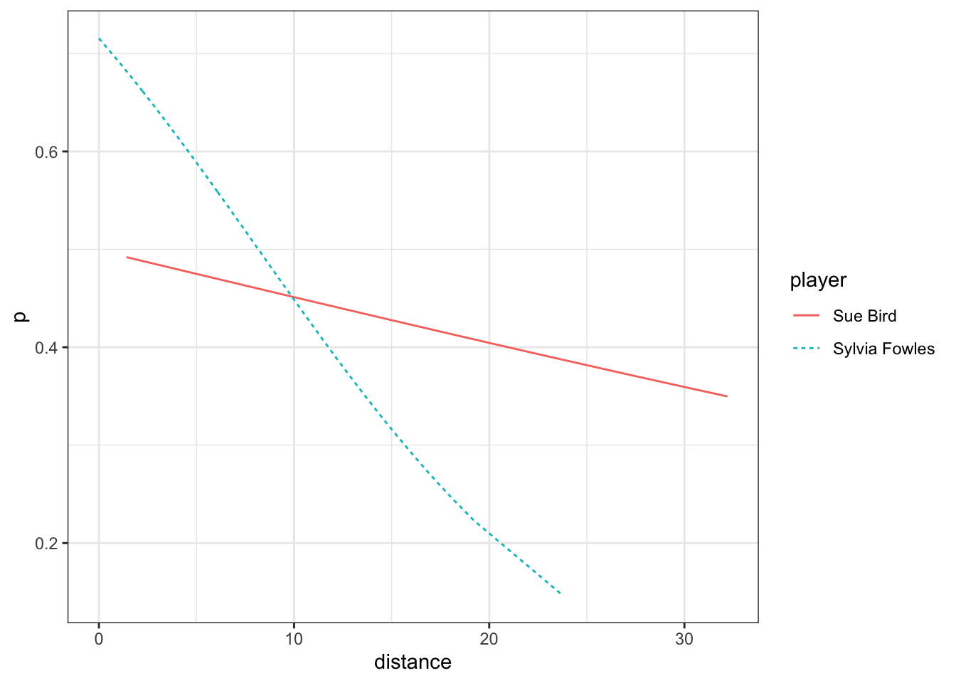
We may expect further that the effect of distance will be different for Sylvia Fowles compared to Sue Bird since Sylvia Fowles is a 6’6” center while Sue Bird is 5’9” point guard. To allow for the effect of distance to depend on the player, we include an interaction between distance and player.

mPDI <- glm(made_shot ~ player * distance, # Note the * for the interaction
         data = two_player_shots,
         family = "binomial")

summary(mPDI)

Call:
glm(formula = made_shot ~ player * distance, family = "binomial", 
    data = two_player_shots)

Coefficients:
                              Estimate Std. Error z value Pr(>|z|)   
(Intercept)                  -0.004762   0.363577  -0.013  0.98955   
playerSylvia Fowles           0.927781   0.402815   2.303  0.02127 * 
distance                     -0.019103   0.016459  -1.161  0.24577   
playerSylvia Fowles:distance -0.093863   0.033558  -2.797  0.00516 **
---
Signif. codes:  0 '***' 0.001 '**' 0.01 '*' 0.05 '.' 0.1 ' ' 1

(Dispersion parameter for binomial family taken to be 1)

    Null deviance: 798.26  on 575  degrees of freedom
Residual deviance: 756.00  on 572  degrees of freedom
AIC: 764

Number of Fisher Scoring iterations: 4

There is evidence that distance effects the two players differently (0.005). Rather than trying to directly interpret these coefficients, it is much more straightforward to plot the estimated probabilities as a function of distance.

two_player_shots_fitted <- two_player_shots |>
  mutate(
    p = predict(mPDI, type = "response")
  )

ggplot(two_player_shots_fitted,
       aes(x = distance, y = p, 
           color = player, 
           group = player,
           linetype = player)) + 
  geom_line()

This is certainly not the end of the story since probability might be a more complicated function of distance as we will see in the Golf putting example.

5.3 Golf putting

Fearing, Acimovic, and Graves (2011) fit a logistic regression model for the probability of making a putt as a function of the distance of the putt. The resulting function they used was

\[ \mbox{logit}(\pi) = \beta_0 + \beta_1 d + \beta_2 d^2 + \beta_3 d^3 + \beta_4 d^4 + \beta_5 \log(d) \]

with estimated values of

\[ \mbox{logit}(\pi) = 7.31e0 -5.58e0 d + 6.76e-1d^2 -1.97e-2d^3 + 2.93e-4 d^4 -1.62e-6\log(d) \]

I’m explicitly using scientific notation here to try and assure that I don’t make a typo.

Encoded in an R function, we have

putt_probability <- function(d) {
  eta <- 7.31e0 - 5.58e0 * d + 
    6.76e-1 * d^2 -1.97e-2 * d^3 + 
    2.93e-4 * d^4 -1.62e-6 * log(d)
  
  return( 1 / (1 + exp(-eta) ) )
}

We can plot this function

ggplot(data.frame(d = 2:100),
       aes(x = d)) +
  stat_function(fun = putt_probability)

Huh?!?!?! This looks nothing like the authors estimated probability in Figure 3. I tried a variety of variations, e.g. using log base 10 and forgetting the negative sign in the exponential, but nothing seems to reproduce the plot the authors have.

Since we don’t have their actual plot, I’ll try to recreate their data from Figure 2.

simulated_putts <- data.frame(
  n = 1000, 
  
  # I measured the height in the pdf
  p = c(12.9, 12.5, 11.1, 7.5, 5.8, 4.5, 3.7, 3, 2.5, 2.1, 1.8, 1.5,
        1.4, 1.2, 1.1, 1.0, .9, .8, .7, .6, .5, .5, .5, .5, 
        rep(0.4, 6), rep(0.3, 10), rep(0.2, 16), rep(0.1, 26),
        rep(0.05, 18)) /
    13 # total height
) |>
  mutate(
    d = seq(2, by = 2, length = n()),
    y = rbinom(n(), size = n, prob = p)
  )

Let’s plot the data to recreate Figure 2 from the paper.

ggplot(simulated_putts, 
       aes(x = d, y = y / n)) +
  geom_point(color = 'red') + 
  geom_line(color = 'red')

Let’s fit a logistic regression model to these data. We’ll start with just using distance,

m_d <- glm(cbind(y, n - y) ~ d,    # cbind(successes, failures)
           data = simulated_putts,
           family = "binomial")    # logistic regression 

Diagnostic plots

ggResidpanel::resid_panel(m_d, 
                          qqbands = TRUE,
                          smoother = TRUE)
`geom_smooth()` using formula = 'y ~ x'
`geom_smooth()` using formula = 'y ~ x'

This plot shows clear violation of model assumptions. If we take a look at residuals vs distance plot we can see why.

ggResidpanel::resid_xpanel(m_d, 
                          smoother = TRUE)
`geom_smooth()` using formula = 'y ~ x'

We could also plot the estimated

Thus, it is clear we need an improved model, i.e. we need to include a higher order term for distance. Let’s try the terms the original authors used.

m_d2 <- glm(cbind(y, n - y) ~ d + I(d^2), 
            data = simulated_putts,
            family = "binomial")        

In a generalized linear model, e.g. logistic regression, we can use a drop-in-deviance test to evaluate the strength of evidence for terms in a model. If we look at sequential tests, the default in anova() then we can just keep terms

anova(m_d2)
Analysis of Deviance Table

Model: binomial, link: logit

Response: cbind(y, n - y)

Terms added sequentially (first to last)

       Df Deviance Resid. Df Resid. Dev  Pr(>Chi)    
NULL                      99    24784.1              
d       1  18984.9        98     5799.1 < 2.2e-16 ***
I(d^2)  1   2934.3        97     2864.9 < 2.2e-16 ***
---
Signif. codes:  0 '***' 0.001 '**' 0.01 '*' 0.05 '.' 0.1 ' ' 1

Like the authors, all of these terms are significant. We could have even tried more terms, but let’s stick with these.

summary(m_d2)

Call:
glm(formula = cbind(y, n - y) ~ d + I(d^2), family = "binomial", 
    data = simulated_putts)

Coefficients:
              Estimate Std. Error z value Pr(>|z|)    
(Intercept)  1.081e+00  2.849e-02   37.93   <2e-16 ***
d           -1.099e-01  1.301e-03  -84.48   <2e-16 ***
I(d^2)       4.276e-04  6.972e-06   61.34   <2e-16 ***
---
Signif. codes:  0 '***' 0.001 '**' 0.01 '*' 0.05 '.' 0.1 ' ' 1

(Dispersion parameter for binomial family taken to be 1)

    Null deviance: 24784.1  on 99  degrees of freedom
Residual deviance:  2864.9  on 97  degrees of freedom
AIC: 3329.9

Number of Fisher Scoring iterations: 5

While the anova() output shows sequential tests, i.e. adding one term at a time, this analysis suggests that, after including the logarithm of distance, we perhaps didn’t need any of the other distances. So let’s rearrange the terms.

m_d3 <- glm(cbind(y, n - y) ~ log(d) + d + I(d^2) + I(d^3) + I(d^4), 
            data = simulated_putts,
            family = "binomial")

anova(m_d3)
Analysis of Deviance Table

Model: binomial, link: logit

Response: cbind(y, n - y)

Terms added sequentially (first to last)

       Df Deviance Resid. Df Resid. Dev  Pr(>Chi)    
NULL                      99    24784.1              
log(d)  1  24304.5        98      479.5 < 2.2e-16 ***
d       1    205.8        97      273.7 < 2.2e-16 ***
I(d^2)  1    107.9        96      165.8 < 2.2e-16 ***
I(d^3)  1     16.9        95      148.9 3.869e-05 ***
I(d^4)  1      7.9        94      140.9  0.004884 ** 
---
Signif. codes:  0 '***' 0.001 '**' 0.01 '*' 0.05 '.' 0.1 ' ' 1
summary(m_d3)

Call:
glm(formula = cbind(y, n - y) ~ log(d) + d + I(d^2) + I(d^3) + 
    I(d^4), family = "binomial", data = simulated_putts)

Coefficients:
              Estimate Std. Error z value Pr(>|z|)    
(Intercept)  7.621e+00  2.642e-01  28.840  < 2e-16 ***
log(d)      -3.855e+00  1.899e-01 -20.304  < 2e-16 ***
d            1.344e-01  2.069e-02   6.497 8.22e-11 ***
I(d^2)      -1.313e-03  3.068e-04  -4.279 1.88e-05 ***
I(d^3)       6.912e-06  2.106e-06   3.282  0.00103 ** 
I(d^4)      -1.420e-08  5.099e-09  -2.785  0.00536 ** 
---
Signif. codes:  0 '***' 0.001 '**' 0.01 '*' 0.05 '.' 0.1 ' ' 1

(Dispersion parameter for binomial family taken to be 1)

    Null deviance: 24784.07  on 99  degrees of freedom
Residual deviance:   140.93  on 94  degrees of freedom
AIC: 611.94

Number of Fisher Scoring iterations: 4
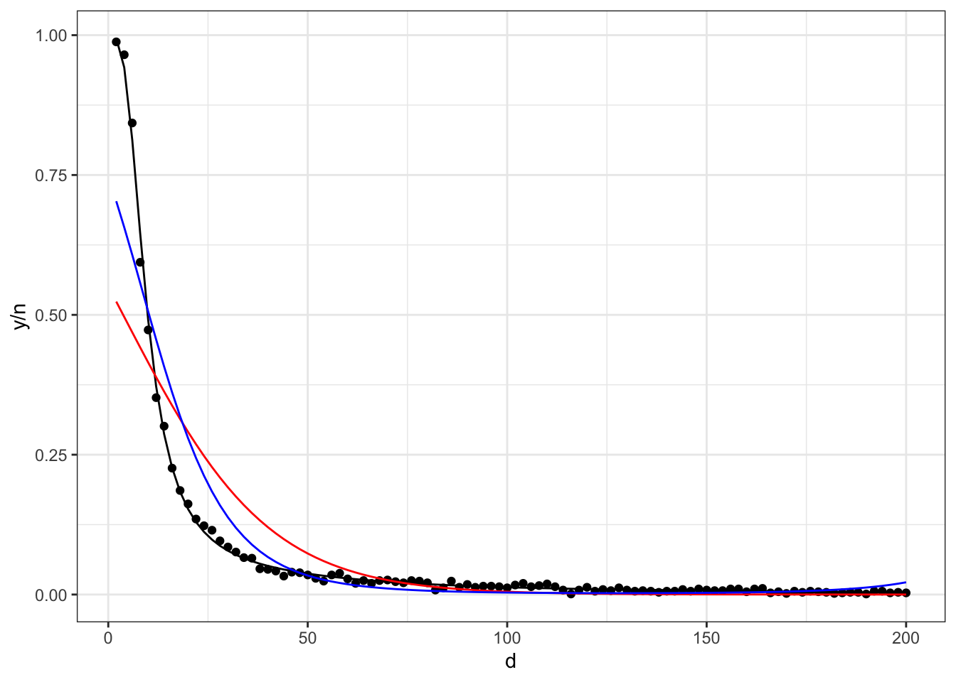
ggplot(simulated_putts, 
       aes(x = d, y = y / n)) +
  geom_point() +
  geom_line(aes(y = predict(m_d3, type = "response"))) +
  geom_line(aes(y = predict(m_d,  type = "response")), col= 'red') +
  geom_line(aes(y = predict(m_d2,  type = "response")), col= 'blue')